Новость № 196: Индия ввела обязательный ПЦР-тест для прилетающих из пяти стран.
Вот как мы и писали в предыдущей новости о том, что Индия отменила все ковидные ограничения, но отменила их со многими "но".
Итак, с 1 января 2023 года Индия ввела обязательный ПЦР-тест для прибывающих из Китая, Японии, Южной Кореи, Сингапура и Таиланда.
С другой стороны - это очень приятно, что правительство Индии занимается отслеживанием ситуации с ковидом в мире и предотвращает очередные эпидемии, это для нас означает, что Индия не планирует очередного закрытия и заботится о безопасности в плане ковида в стране.
Подробнее....
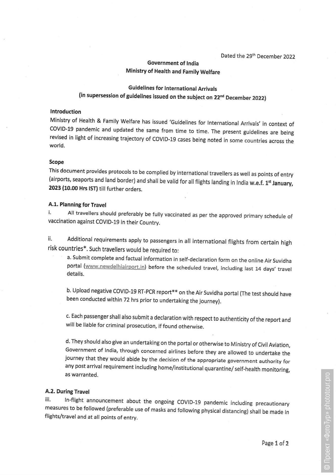
Власти Индии возвращают обязательные ПЦР-тесты для пассажиров из Китая, Японии, Южной Кореи, Сингапура и Таиланда, сообщил министр здравоохранения Мансух Мандавия.
С 1 января 2023 года все прибывающие из этих стран должны заполнить въездную декларацию здоровья Air Suvidha, включая информацию о путешествиях за последние 14 дней.
К декларации нужно подгрузить ПЦР тест, сделанный в течение 72 часов до поездки.
В конце ноября Индия отменила обязательное заполнение декларации о состоянии здоровья и прививке от COVID-19 для въезжающих из-за рубежа, введенной в результате пандемии.
На прошлой неделе премьер-министр Нарендра Моди приказал усилить меры по надзору за коронавирусом, особенно в международных аэропортах, а также призвал носить маски в людных местах.
Вскоре после этого Минздрав распорядился тестировать два процента международных путешественников:
для пассажиров, прибывающих из других стран, Air Suvidha отменена, но сохраняется выборочное тестирование на коронавирус по прилету, 2% пассажиров с каждого рейса.
Полностью въездные требования опубликованы здесь, и на сайте Министерства здравоохранения Индии.
На всякий случай размещаем копии этого документа и здесь:




МИРА И ЗДОРОВЬЯ НАМ ВСЕМ!
